• 1
  • 2
  • 3
您现在的位置: 阳新县第一中学>> 招生信息>> 学校招生>>正文内容

学校招生

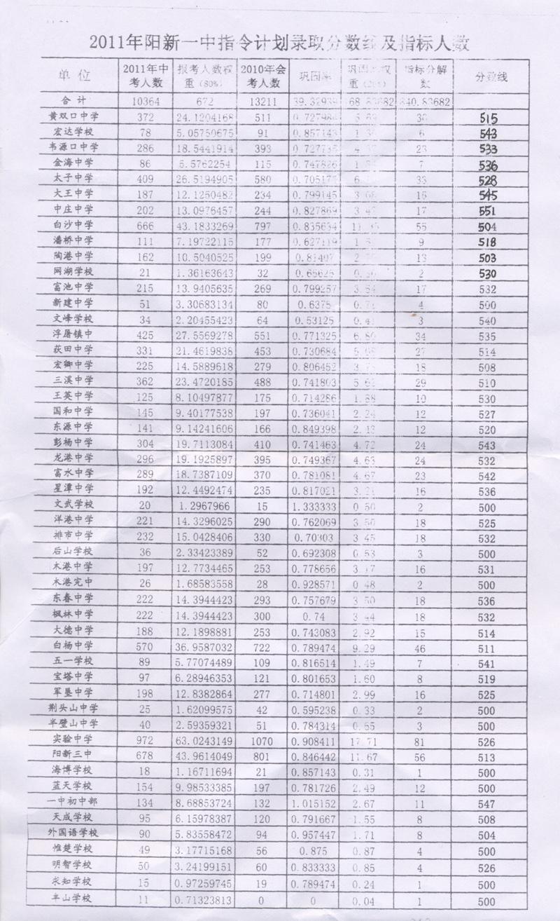
2011年阳新一中指令线计划录取分数线